Exhibit 10.5

CAREFULLY READ THE LA&A : This document describes the terms and conditions of your loan. It is your responsibility to comply with ALL the terms and conditions of your loan. SIGNING THE LA&A : All borrowers must sign the LA&A. Sign your name exactly as it appears on the LA&A. If typed incorrectly, you should sign with the correct spelling. If your middle initial appears on the signature line, sign with your middle initial. If a suffix appears on the signature line, such as Sr. or Jr., sign with your suffix. Corporate Signatories: Authorized representatives should sign the signature page. Your signature represents your agreement to comply with the terms and conditions of the loan. Ref 50 30 Doc # L - 01 - 1198395 - 01 SBA Loan #7927697805 Application #3600272376 LOAN AUTHORIZATION AND AGREEMENT (LA&A) A PROPERLY SIGNED DOCUMENT IS REQUIRED PRIOR TO ANY DISBURSEMENT DocuSign Envelope ID: 44320AB7 - 2B11 - 438D - 99B8 - 87D5D3E78751

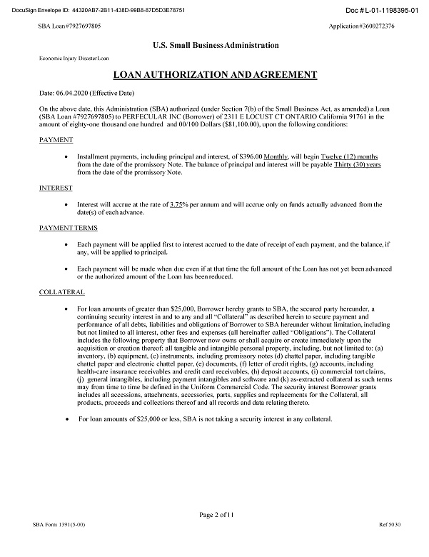
Page 2 of 11 SBA Form 1391 (5 - 00) Ref 50 30 U.S. Small Business Administration Economic Injury Disaster Loan LOAN AUTHORIZATION AND AGREEMENT Date: 06.04.2020 (Effective Date) On the above date, this Administration (SBA) authorized (under Section 7(b) of the Small Business Act, as amended) a Loan (SBA Loan #7927697805) to PERFECULAR INC (Borrower) of 2311 E LOCUST CT ONTARIO California 91761 in the amount of eighty - one thousand one hundred and 00/100 Dollars ($81,100.00), upon the following conditions: PAYMENT Installment payments, including principal and interest, of $396.00 Monthly , will begin Twelve (12) months from the date of the promissory Note. The balance of principal and interest will be payable Thirty (30) years from the date of the promissory Note. INTEREST Interest will accrue at the rate of 3.75 % per annum and will accrue only on funds actually advanced from the date(s) of each advance. PAYMENT TERMS Each payment will be applied first to interest accrued to the date of receipt of each payment, and the balance, if any, will be applied to principal . Each payment will be made when due even if at that time the full amount of the Loan has not yet been advanced or the authorized amount of the Loan has been reduced. COLLATERAL For loan amounts of greater than $25,000, Borrower hereby grants to SBA, the secured party hereunder, a continuing security interest in and to any and all “Collateral” as described herein to secure payment and performance of all debts, liabilities and obligations of Borrower to SBA hereunder without limitation, including but not limited to all interest, other fees and expenses (all hereinafter called “Obligations”). The Collateral includes the following property that Borrower now owns or shall acquire or create immediately upon the acquisition or creation thereof: all tangible and intangible personal property, including, but not limited to: (a) inventory, (b) equipment, (c) instruments, including promissory notes (d) chattel paper, including tangible chattel paper and electronic chattel paper, (e) documents, (f) letter of credit rights, (g) accounts, including health - care insurance receivables and credit card receivables, (h) deposit accounts, (i) commercial tort claims, (j) general intangibles, including payment intangibles and software and (k) as - extracted collateral as such terms may from time to time be defined in the Uniform Commercial Code. The security interest Borrower grants includes all accessions, attachments, accessories, parts, supplies and replacements for the Collateral, all products, proceeds and collections thereof and all records and data relating thereto. For loan amounts of $25,000 or less, SBA is not taking a security interest in any collateral. Doc # L - 01 - 1198395 - 01 SBA Loan #7927697805 Application #3600272376 DocuSign Envelope ID: 44320AB7 - 2B11 - 438D - 99B8 - 87D5D3E78751

Page 3 of 11 SBA Form 1391 (5 - 00) Ref 50 30 REQUIREMENTS RELATIVE TO COLLATERAL Borrower will not sell or transfer any collateral (except normal inventory turnover in the ordinary course of business) described in the "Collateral" paragraph hereof without the prior written consent of SBA. Borrower will neither seek nor accept future advances under any superior liens on the collateral securing this Loan without the prior written consent of SBA. USE OF LOAN PROCEEDS Borrower will use all the proceeds of this Loan solely as working capital to alleviate economic injury caused by disaster occurring in the month of January 31, 2020 and continuing thereafter and to pay Uniform Commercial Code (UCC) lien filing fees and a third - party UCC handling charge of $100 which will be deducted from the Loan amount stated above. REQUIREMENTS FOR USE OF LOAN PROCEEDS AND RECEIPTS Borrower will obtain and itemize receipts (paid receipts, paid invoices or cancelled checks) and contracts for all Loan funds spent and retain these receipts for 3 years from the date of the final disbursement. Prior to each subsequent disbursement (if any) and whenever requested by SBA, Borrower will submit to SBA such itemization together with copies of the receipts. Borrower will not use, directly or indirectly, any portion of the proceeds of this Loan to relocate without the prior written permission of SBA. The law prohibits the use of any portion of the proceeds of this Loan for voluntary relocation from the business area in which the disaster occurred. To request SBA's prior written permission to relocate, Borrower will present to SBA the reasons therefore and a description or address of the relocation site. Determinations of (1) whether a relocation is voluntary or otherwise, and (2) whether any site other than the disaster - affected location is within the business area in which the disaster occurred, will be made solely by SBA. Borrower will, to the extent feasible, purchase only American - made equipment and products with the proceeds of this Loan. Borrower will make any request for a loan increase for additional disaster - related damages as soon as possible after the need for a loan increase is discovered. The SBA will not consider a request for a loan increase received more than two (2) years from the date of loan approval unless, in the sole discretion of the SBA, there are extraordinary and unforeseeable circumstances beyond the control of the borrower. DEADLINE FOR RETURN OF LOAN CLOSING DOCUMENTS Borrower will sign and return the loan closing documents to SBA within 2 months of the date of this Loan Authorization and Agreement . By notifying the Borrower in writing, SBA may cancel this Loan if the Borrower fails to meet this requirement. The Borrower may submit and the SBA may, in its sole discretion, accept documents after 2 months of the date of this Loan Authorization and Agreement. COMPENSATION FROM OTHER SOURCES Eligibility for this disaster Loan is limited to disaster losses that are not compensated by other sources. Other sources include but are not limited to: (1) proceeds of policies of insurance or other indemnifications, (2) grants or other reimbursement (including loans) from government agencies or private organizations, (3) Doc # L - 01 - 1198395 - 01 SBA Loan #7927697805 Application #3600272376 DocuSign Envelope ID: 44320AB7 - 2B11 - 438D - 99B8 - 87D5D3E78751

Page 4 of 11 SBA Form 1391 (5 - 00) Ref 50 30 claims for civil liability against other individuals, organizations or governmental entities, and (4) salvage (including any sale or re - use) of items of damaged property. Borrower will promptly notify SBA of the existence and status of any claim or application for such other compensation, and of the receipt of any such compensation, and Borrower will promptly submit the proceeds of same (not exceeding the outstanding balance of this Loan) to SBA. Borrower hereby assigns to SBA the proceeds of any such compensation from other sources and authorizes the payor of same to deliver said proceeds to SBA at such time and place as SBA shall designate. SBA will in its sole discretion determine whether any such compensation from other sources is a duplication of benefits. SBA will use the proceeds of any such duplication to reduce the outstanding balance of this Loan, and Borrower agrees that such proceeds will not be applied in lieu of scheduled payments. DUTY TO MAINTAIN HAZARD INSURANCE Within 12 months from the date of this Loan Authorization and Agreement the Borrower will provide proof of an active and in effect hazard insurance policy including fire, lightning, and extended coverage on all items used to secure this loan to at least 80% of the insurable value. Borrower will not cancel such coverage and will maintain such coverage throughout the entire term of this Loan. BORROWER MAY NOT BE ELIGIBLE FOR EITHER ANY FUTURE DISASTER ASSISTANCE OR SBA FINANCIAL ASSISTANCE IF THIS INSURANCE IS NOT MAINTAINED AS STIPULATED HEREIN THROUGHOUT THE ENTIRE TERM OF THIS LOAN. Please submit proof of insurance to: U.S. Small Business Administration, Office of Disaster Assistance, 14925 Kingsport Rd, Fort Worth, TX. 76155. BOOKS AND RECORDS Borrower will maintain current and proper books of account in a manner satisfactory to SBA for the most recent 5 years until 3 years after the date of maturity, including extensions, or the date this Loan is paid in full, whichever occurs first. Such books will include Borrower's financial and operating statements, insurance policies, tax returns and related filings, records of earnings distributed and dividends paid and records of compensation to officers, directors, holders of 10% or more of Borrower's capital stock, members, partners and proprietors. Borrower authorizes SBA to make or cause to be made, at Borrower's expense and in such a manner and at such times as SBA may require: (1) inspections and audits of any books, records and paper in the custody or control of Borrower or others relating to Borrower's financial or business conditions, including the making of copies thereof and extracts therefrom, and (2) inspections and appraisals of any of Borrower's assets. Borrower will furnish to SBA, not later than 3 months following the expiration of Borrower's fiscal year and in such form as SBA may require, Borrower's financial statements. Upon written request of SBA, Borrower will accompany such statements with an 'Accountant's Review Report' prepared by an independent public accountant at Borrower's expense. Borrower authorizes all Federal, State and municipal authorities to furnish reports of examination, records and other information relating to the conditions and affairs of Borrower and any desired information from such reports, returns, files, and records of such authorities upon request of SBA. Doc # L - 01 - 1198395 - 01 SBA Loan #7927697805 Application #3600272376 DocuSign Envelope ID: 44320AB7 - 2B11 - 438D - 99B8 - 87D5D3E78751

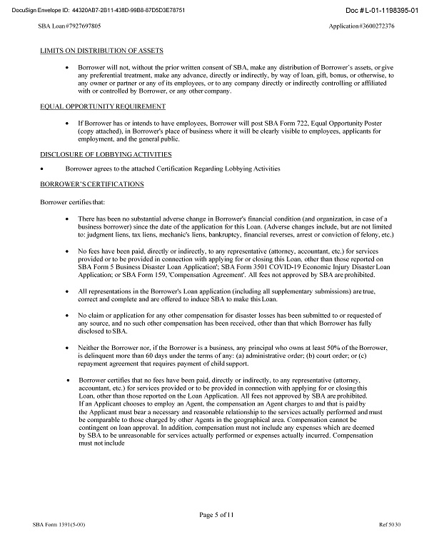
Page 5 of 11 SBA Form 1391 (5 - 00) Ref 50 30 LIMITS ON DISTRIBUTION OF ASSETS Borrower will not, without the prior written consent of SBA, make any distribution of Borrower’s assets, or give any preferential treatment, make any advance, directly or indirectly, by way of loan, gift, bonus, or otherwise, to any owner or partner or any of its employees, or to any company directly or indirectly controlling or affiliated with or controlled by Borrower, or any other company. EQUAL OPPORTUNITY REQUIREMENT If Borrower has or intends to have employees, Borrower will post SBA Form 722, Equal Opportunity Poster (copy attached), in Borrower's place of business where it will be clearly visible to employees, applicants for employment, and the general public. DISCLOSURE OF LOBBYING ACTIVITIES Borrower agrees to the attached Certification Regarding Lobbying Activities BORROWER’S CERTIFICATIONS Borrower certifies that: There has been no substantial adverse change in Borrower's financial condition (and organization, in case of a business borrower) since the date of the application for this Loan. (Adverse changes include, but are not limited to: judgment liens, tax liens, mechanic's liens, bankruptcy, financial reverses, arrest or conviction of felony, etc.) No fees have been paid, directly or indirectly, to any representative (attorney, accountant, etc.) for services provided or to be provided in connection with applying for or closing this Loan, other than those reported on SBA Form 5 Business Disaster Loan Application'; SBA Form 3501 COVID - 19 Economic Injury Disaster Loan Application; or SBA Form 159, 'Compensation Agreement'. All fees not approved by SBA are prohibited. All representations in the Borrower's Loan application (including all supplementary submissions) are true, correct and complete and are offered to induce SBA to make this Loan. No claim or application for any other compensation for disaster losses has been submitted to or requested of any source, and no such other compensation has been received, other than that which Borrower has fully disclosed to SBA. Neither the Borrower nor, if the Borrower is a business, any principal who owns at least 50% of the Borrower, is delinquent more than 60 days under the terms of any: (a) administrative order; (b) court order; or (c) repayment agreement that requires payment of child support. Borrower certifies that no fees have been paid, directly or indirectly, to any representative (attorney, accountant, etc.) for services provided or to be provided in connection with applying for or closing this Loan, other than those reported on the Loan Application. All fees not approved by SBA are prohibited. If an Applicant chooses to employ an Agent, the compensation an Agent charges to and that is paid by the Applicant must bear a necessary and reasonable relationship to the services actually performed and must be comparable to those charged by other Agents in the geographical area. Compensation cannot be contingent on loan approval. In addition, compensation must not include any expenses which are deemed by SBA to be unreasonable for services actually performed or expenses actually incurred. Compensation must not include Doc # L - 01 - 1198395 - 01 SBA Loan #7927697805 Application #3600272376 DocuSign Envelope ID: 44320AB7 - 2B11 - 438D - 99B8 - 87D5D3E78751

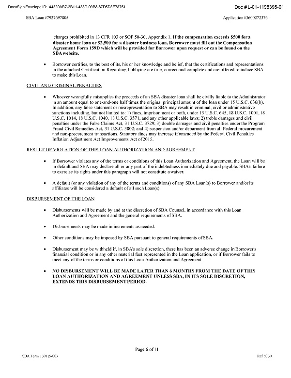
Page 6 of 11 SBA Form 1391 (5 - 00) Ref 50 30 charges prohibited in 13 CFR 103 or SOP 50 - 30, Appendix 1. If the compensation exceeds $500 for a disaster home loan or $2,500 for a disaster business loan, Borrower must fill out the Compensation Agreement Form 159D which will be provided for Borrower upon request or can be found on the SBA website. Borrower certifies, to the best of its, his or her knowledge and belief, that the certifications and representations in the attached Certification Regarding Lobbying are true, correct and complete and are offered to induce SBA to make this Loan . CIVIL AND CRIMINAL PENALTIES Whoever wrongfully misapplies the proceeds of an SBA disaster loan shall be civilly liable to the Administrator in an amount equal to one - and - one half times the original principal amount of the loan under 15 U.S.C. 636(b). In addition, any false statement or misrepresentation to SBA may result in criminal, civil or administrative sanctions including, but not limited to: 1) fines, imprisonment or both, under 15 U.S.C. 645, 18 U.S.C. 1001, 18 U.S.C. 1014, 18 U.S.C. 1040, 18 U.S.C. 3571, and any other applicable laws; 2) treble damages and civil penalties under the False Claims Act, 31 U.S.C. 3729; 3) double damages and civil penalties under the Program Fraud Civil Remedies Act, 31 U.S.C. 3802; and 4) suspension and/or debarment from all Federal procurement and non - procurement transactions. Statutory fines may increase if amended by the Federal Civil Penalties Inflation Adjustment Act Improvements Act of 2015. RESULT OF VIOLATION OF THIS LOAN AUTHORIZATION AND AGREEMENT If Borrower violates any of the terms or conditions of this Loan Authorization and Agreement, the Loan will be in default and SBA may declare all or any part of the indebtedness immediately due and payable . SBA's failure to exercise its rights under this paragraph will not constitute a waiver . A default (or any violation of any of the terms and conditions) of any SBA Loan(s) to Borrower and/or its affiliates will be considered a default of all such Loan(s). DISBURSEMENT OF THE LOAN Disbursements will be made by and at the discretion of SBA Counsel, in accordance with this Loan Authorization and Agreement and the general requirements of SBA. Disbursements may be made in increments as needed. Other conditions may be imposed by SBA pursuant to general requirements of SBA. Disbursement may be withheld if, in SBA's sole discretion, there has been an adverse change in Borrower's financial condition or in any other material fact represented in the Loan application, or if Borrower fails to meet any of the terms or conditions of this Loan Authorization and Agreement. NO DISBURSEMENT WILL BE MADE LATER THAN 6 MONTHS FROM THE DATE OF THIS LOAN AUTHORIZATION AND AGREEMENT UNLESS SBA, IN ITS SOLE DISCRETION, EXTENDS THIS DISBURSEMENT PERIOD. Doc # L - 01 - 1198395 - 01 SBA Loan #7927697805 Application #3600272376 DocuSign Envelope ID: 44320AB7 - 2B11 - 438D - 99B8 - 87D5D3E78751

PARTIES AFFECTED This Loan Authorization and Agreement will be binding upon Borrower and Borrower's successors and assigns and will inure to the benefit of SBA and its successors and assigns. RESOLUTION OF BOARD OF DIRECTORS Borrower shall, within 180 days of receiving any disbursement of this Loan, submit the appropriate SBA Certificate and/or Resolution to the U.S. Small Business Administration, Office of Disaster Assistance, 14925 Kingsport Rd, Fort Worth, TX. 76155. ENFORCEABILITY This Loan Authorization and Agreement is legally binding, enforceable and approved upon Borrower’s signature, the SBA’s approval and the Loan Proceeds being issued to Borrower by a government issued check or by electronic debit of the Loan Proceeds to Borrower’ banking account provided by Borrower in application for this Loan. James E. Rivera Associate Administrator U.S. Small Business Administration The undersigned agree(s) to be bound by the terms and conditions herein during the term of this Loan, and further agree(s) that no provision stated herein will be waived without prior written consent of SBA. Under penalty of perjury of the United States of America, I hereby certify that I am authorized to apply for and obtain a disaster loan on behalf of Borrower, in connection with the effects of the COVID - 19 emergency. PERFECULAR INC {{0_SH}} Date: 06.04.2020 DESHENG WANG, Owner/Officer Note: Corporate Borrowers must execute Loan Authorization and Agreement in corporate name, by a duly authorized officer. Partnership Borrowers must execute in firm name, together with signature of a general partner. Limited Liability entities must execute in the entity name by the signature of the authorized managing person. Doc # L - 01 - 1198395 - 01 SBA Loan #7927697805 Application #3600272376 DocuSign Envelope ID: 44320AB7 - 2B11 - 438D - 99B8 - 87D5D3E78751 Page 7 of 11 SBA Form 1391 (5 - 00) Ref 50 30

Page 8 of 11 SBA Form 1391 (5 - 00) CERTIFICATION REGARDING LOBBYING For loans over $150,000, Congress requires recipients to agree to the following: 1. Appropriated funds may NOT be used for lobbying. 2. Payment of non - federal funds for lobbying must be reported on Form SF - LLL. 3. Language of this certification must be incorporated into all contracts and subcontracts exceeding $100,000. 4. All contractors and subcontractors with contracts exceeding $100,000 are required to certify and disclose accordingly. Doc # L - 01 - 1198395 - 01 SBA Loan #7927697805 Application #3600272376 DocuSign Envelope ID: 44320AB7 - 2B11 - 438D - 99B8 - 87D5D3E78751

Page 9 of 11 SBA Form 1391 (5 - 00) CERTIFICATION REGARDING LOBBYING Certification for Contracts, Grants, Loans, and Cooperative Agreements Borrower and all Guarantors (if any) certify, to the best of its, his or her knowledge and belief, that: (1) No Federal appropriated funds have been paid or will be paid, by or on behalf of the undersigned, to any person for influencing or attempting to influence an officer or employee of any agency, a Member of Congress, an officer or employee of Congress, or an employee of a Member of Congress in connection with awarding of any Federal contract, the making of any Federal grant, the making of any Federal loan, the entering into of any cooperative agreement, and the extension, continuation, renewal, or modification of any Federal contract, grant, loan, or cooperative agreement. (2) If any funds other than Federal appropriated funds have been paid or will be paid to any person for influencing or attempting to influence an officer or employee of any agency, a Member of Congress, an officer or employee of Congress, or an employee of a Member of Congress in connection with this Federal loan, the undersigned shall complete and submit Standard Form LLL, "Disclosure Form to Report Lobbying," in accordance with its instructions. (3) The undersigned shall require that the language of this certification be included in the award documents for all sub - awards at all tiers (including subcontracts, sub - grants, and contracts under grants, loans, and co - operative agreements) and that all sub - recipients shall certify and disclose accordingly. This certification is a material representation of fact upon which reliance was placed when this transaction was made or entered into. Submission of this certification is a prerequisite for making or entering into this transaction imposed by Section 1352, Title 31, U.S. Code. Any person who fails to file the required certification shall be subject to a civil penalty of not less than $10,000.00 and not more than $100,000.00 for each such failure. Doc # L - 01 - 1198395 - 01 SBA Loan #7927697805 Application #3600272376 DocuSign Envelope ID: 44320AB7 - 2B11 - 438D - 99B8 - 87D5D3E78751

This Statement of Policy is Posted In Accordance with Regulations of the Small Business Administration This Organization Practices Equal Employment Opportunity We do not discriminate on the ground of race, color, religion, sex, age, disability or national origin in the hiring, retention, or promotion of employees; nor in determining their rank, or the compensation or fringe benefits paid them. This Organization Practices Equal Treatment of Clients We do not discriminate on the basis of race, color, religion, sex, marital status, disability, age or national origin in services or accommodations offered or provided to our employees, clients or guests. These policies and this notice comply with regulations of the United States Government. Please report violations of this policy to: Administrator Small Business Administration Washington, D.C. 20416 In order for the public and your employees to know their rights under 13 C . F . R Parts 112 , 113 , and 117 , Small Business Administration Regulations, and to conform with the directions of the Administrator of SBA, this poster must be displayed where it is clearly visible to employees, applicants for employment, and the public . Failure to display the poster as required in accordance with SBA Regulations may be considered evidence of noncompliance and subject you to the penalties contained in those Regulations. Doc # L - 01 - 1198395 - 01 Page 10 of 11 SBA FORM 722 (10 - 02) REF: SOP 9030 PREVIOUS EDITIONS ARE OBSOLETE This form was electronically produced by Elite Federal Inc. U.S. GOVERNMENT PRINTING OFFICE: 1994 0 - 153 - 346 DocuSign Envelope ID: 44320AB7 - 2B11 - 438D - 99B8 - 87D5D3E78751

Esta Declaración De Principios Se Publica De Acuerdo Con Los Reglamentos De La Agencia Federal Para el Desarrollo de la Pequeña Empresa Esta Organización Practica Igual Oportunidad De Empleo No discriminamos por razón de raza, color, religión, sexo, edad, discapacidad o nacionalidad en el empleo, retención o ascenso de personal ni en la determinación de sus posiciones, salarios o beneficios marginales. Esta Organización Practica Igualdad En El Trato A Su Clientela No discriminamos por razón de raza, color, religión, sexo, estado civil, edad, discapacidad o nacionalidad en los servicios o facilidades provistos para nuestros empleados, clientes o visitantes. Estos principios y este aviso cumplen con los reglamentos del Gobierno de los Estados Unidos de América. Favor de informar violaciones a lo aquí indicado a: Administrador Agencia Federal Para el Desarrollo de la Pequeña Empresa Washington, D.C. 20416 A fin de que el público y sus empleados conozcan sus derechos según lo expresado en las Secciones 112, 113 y 117 del Código de Regulaciaones Federales No. 13, de los Reglamentos de la Agencja Federal Para el Desarrollo de la Pequeña Empresa y de acuerdo con las instrucciones del Administrador de dicha agencia, esta notificación debe fijarse en un lugar claramente visible para los empleados, solicitantes de empleo y público en general. No fijar esta notificación según lo requerido por los reglamentos de la Agencia Federal Para el Desarrollo de la Pequeña Empresa, puede ser interpretado como evidencia de falta de cumplimiento de los mismos y conllevará la ejecución de los castigos impuestos en estos reglamentos. Doc # L - 01 - 1198395 - 01 Page 11 of 11 SBA FORM 722 (10 - 02) REF: SOP 9030 PREVIOUS EDITIONS ARE OBSOLETE This form was electronically produced by Elite Federal Inc. U.S. GOVERNMENT PRINTING OFFICE: 1994 0 - 153 - 346 DocuSign Envelope ID: 44320AB7 - 2B11 - 438D - 99B8 - 87D5D3E78751

NOTE A PROPERLY SIGNED NOTE IS REQUIRED PRIOR TO ANY DISBURSEMENT CAREFULLY READ THE NOTE : It is your promise to repay the loan. The Note is pre - dated. DO NOT CHANGE THE DATE OF THE NOTE. LOAN PAYMENTS will be due as stated in the Note. ANY CORRECTIONS OR UNAUTHORIZED MARKS MAY VOID THIS DOCUMENT. SIGNING THE NOTE : All borrowers must sign the Note. Sign your name exactly as it appears on the Note. If typed incorrectly, you should sign with the correct spelling. If your middle initial appears on the signature line, sign with your middle initial. If a suffix appears on the signature line, such as Sr. or Jr., sign with your suffix. Corporate Signatories: Authorized representatives should sign the signature page. Doc # L - 01 - 1198395 - 01 SBA Loan #7927697805 Application #3600272376 DocuSign Envelope ID: 44320AB7 - 2B11 - 438D - 99B8 - 87D5D3E78751

U.S. Small Business Administration N OTE ( S ECURED DISASTER LOANS ) Date: 06.04.2020 Loan Amount: $81,100.00 Annual Interest Rate: 3.75% Page 2 of 3 SBA FORM 147 B (5 - 00) SBA Loan # 7927697805 Application #3600272376 1. PROMISE TO PAY: In return for a loan, Borrower promises to pay to the order of SBA the amount of eighty - one thousand one hundred and 00/100 Dollars ($81,100.00) , interest on the unpaid principal balance, and all other amounts required by this Note. 2. DEFINITIONS: A) “Collateral” means any property taken as security for payment of this Note or any guarantee of this Note. B) “Guarantor” means each person or entity that signs a guarantee of payment of this Note. C) “Loan Documents” means the documents related to this loan signed by Borrower, any Guarantor, or anyone who pledges collateral. 3. PAYMENT TERMS: Borrower must make all payments at the place SBA designates. Borrower may prepay this Note in part or in full at any time, without notice or penalty. Borrower must pay principal and interest payments of $396.00 every month beginning Twelve (12) months from the date of the Note. SBA will apply each installment payment first to pay interest accrued to the day SBA receives the payment and will then apply any remaining balance to reduce principal. All remaining principal and accrued interest is due and payable Thirty (30) years from the date of the Note. 4. DEFAULT: Borrower is in default under this Note if Borrower does not make a payment when due under this Note, or if Borrower: A) Fails to comply with any provision of this Note, the Loan Authorization and Agreement, or other Loan Documents; B) Defaults on any other SBA loan; C) Sells or otherwise transfers, or does not preserve or account to SBA’s satisfaction for, any of the Collateral or its proceeds; D) Does not disclose, or anyone acting on their behalf does not disclose, any material fact to SBA; E) Makes, or anyone acting on their behalf makes, a materially false or misleading representation to SBA; F) Defaults on any loan or agreement with another creditor, if SBA believes the default may materially affect Borrower’s ability to pay this Note; G) Fails to pay any taxes when due; H) Becomes the subject of a proceeding under any bankruptcy or insolvency law; I) Has a receiver or liquidator appointed for any part of their business or property; J) Makes an assignment for the benefit of creditors; K) Has any adverse change in financial condition or business operation that SBA believes may materially affect Borrower’s ability to pay this Note; L) Dies; M) Reorganizes, merges, consolidates, or otherwise changes ownership or business structure without SBA’s prior written consent; or, N) Becomes the subject of a civil or criminal action that SBA believes may materially affect Borrower’s ability to pay this Note. 5. SBA’S RIGHTS IF THERE IS A DEFAULT: Without notice or demand and without giving up any of its rights, SBA may: A) Require immediate payment of all amounts owing under this Note; B) Have recourse to collect all amounts owing from any Borrower or Guarantor (if any); C) File suit and obtain judgment; D) Take possession of any Collateral; or E) Sell, lease, or otherwise dispose of, any Collateral at public or private sale, with or without advertisement. 6. SBA’S GENERAL POWERS: Without notice and without Borrower’s consent, SBA may: A) Bid on or buy the Collateral at its sale or the sale of another lienholder, at any price it chooses; B) Collect amounts due under this Note, enforce the terms of this Note or any other Loan Document, and preserve or dispose of the Collateral. Among other things, the expenses may include payments for property taxes, prior liens, insurance, appraisals, environmental remediation costs, and reasonable attorney’s fees and costs. If SBA incurs such expenses, it may demand immediate reimbursement from Borrower or add the expenses to the principal balance; C) Release anyone obligated to pay this Note; D) Compromise, release, renew, extend or substitute any of the Collateral; and E) Take any action necessary to protect the Collateral or collect amounts owing on this Note. Doc # L - 01 - 1198395 - 01 SBA Loan #7927697805 Application #3600272376 DocuSign Envelope ID: 44320AB7 - 2B11 - 438D - 99B8 - 87D5D3E78751

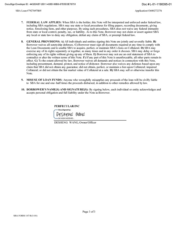
7. FEDERAL LAW APPLIES: When SBA is the holder, this Note will be interpreted and enforced under federal law, including SBA regulations. SBA may use state or local procedures for filing papers, recording documents, giving notice, foreclosing liens, and other purposes. By using such procedures, SBA does not waive any federal immunity from state or local control, penalty, tax, or liability. As to this Note, Borrower may not claim or assert against SBA any local or state law to deny any obligation, defeat any claim of SBA, or preempt federal law. 8. GENERAL PROVISIONS: A) All individuals and entities signing this Note are jointly and severally liable. B) Borrower waives all suretyship defenses. C) Borrower must sign all documents required at any time to comply with the Loan Documents and to enable SBA to acquire, perfect, or maintain SBA’s liens on Collateral. D) SBA may exercise any of its rights separately or together, as many times and in any order it chooses. SBA may delay or forgo enforcing any of its rights without giving up any of them. E) Borrower may not use an oral statement of SBA to contradict or alter the written terms of this Note. F) If any part of this Note is unenforceable, all other parts remain in effect. G) To the extent allowed by law, Borrower waives all demands and notices in connection with this Note, including presentment, demand, protest, and notice of dishonor. Borrower also waives any defenses based upon any claim that SBA did not obtain any guarantee; did not obtain, perfect, or maintain a lien upon Collateral; impaired Collateral; or did not obtain the fair market value of Collateral at a sale. H) SBA may sell or otherwise transfer this Note. 9. MISUSE OF LOAN FUNDS: Anyone who wrongfully misapplies any proceeds of the loan will be civilly liable to SBA for one and one - half times the proceeds disbursed, in addition to other remedies allowed by law. 10. BORROWER’S NAME(S) AND SIGNATURE(S): By signing below, each individual or entity acknowledges and accepts personal obligation and full liability under the Note as Borrower. PERFECULAR INC DESHENG WANG, Owner/Officer {{0_SH}} Doc # L - 01 - 1198395 - 01 SBA Loan #7927697805 Application #3600272376 DocuSign Envelope ID: 44320AB7 - 2B11 - 438D - 99B8 - 87D5D3E78751 Page 3 of 3 SBA FORM 147 B (5 - 00)

SECURITY AGREEMENT Read this document carefully. It grants the SBA a security interest (lien) in all the property described in paragraph 4. This document is predated. DO NOT CHANGE THE DATE ON THIS DOCUMENT. Doc # L - 01 - 1198395 - 01 SBA Loan #7927697805 Application #3600272376 DocuSign Envelope ID: 44320AB7 - 2B11 - 438D - 99B8 - 87D5D3E78751

U.S. Small Business Administration S ECURITY A GREEMENT SBA Loan #: 7927697805 Borrower: PERFECULAR INC Secured Party: The Small Business Administration, an Agency of the U.S. Government Date: 06.04.2020 Note Amount: $81,100.00 Page 2 of 5 SBA Form 1059 (09 - 19) Previous Editions are obsolete. 1. DEFINITIONS. Unless otherwise specified, all terms used in this Agreement will have the meanings ascribed to them under the Official Text of the Uniform Commercial Code, as it may be amended from time to time, (“UCC”). “SBA” means the Small Business Administration, an Agency of the U.S. Government. 2. GRANT OF SECURITY INTEREST. For value received, the Borrower grants to the Secured Party a security interest in the property described below in paragraph 4 (the “Collateral”). 3. OBLIGATIONS SECURED . This Agreement secures the payment and performance of: (a) all obligations under a Note dated 06.04.2020, made by PERFECULAR INC , made payable to Secured Lender, in the amount of $81,100.00 (“Note”), including all costs and expenses (including reasonable attorney’s fees), incurred by Secured Party in the disbursement, administration and collection of the loan evidenced by the Note; (b) all costs and expenses (including reasonable attorney’s fees), incurred by Secured Party in the protection, maintenance and enforcement of the security interest hereby granted; (c) all obligations of the Borrower in any other agreement relating to the Note; and (d) any modifications, renewals, refinancings, or extensions of the foregoing obligations. 4. COLLATERAL DESCRIPTION. The Collateral in which this security interest is granted includes the following property that Borrower now owns or shall acquire or create immediately upon the acquisition or creation thereof: all tangible Doc # L - 01 - 1198395 - 01 SBA Loan #7927697805 Application #3600272376 DocuSign Envelope ID: 44320AB7 - 2B11 - 438D - 99B8 - 87D5D3E78751

Page 3 of 5 SBA Form 1059 (09 - 19) Previous Editions are obsolete. and intangible personal property, including, but not limited to: (a) inventory, (b) equipment, (c) instruments, including promissory notes (d) chattel paper, including tangible chattel paper and electronic chattel paper, (e) documents, (f) letter of credit rights, (g) accounts, including health - care insurance receivables and credit card receivables, (h) deposit accounts, (i) commercial tort claims, (j) general intangibles, including payment intangibles and software and (k) as - extracted collateral as such terms may from time to time be defined in the Uniform Commercial Code. The security interest Borrower grants includes all accessions, attachments, accessories, parts, supplies and replacements for the Collateral, all products, proceeds and collections thereof and all records and data relating thereto. 5. RESTRICTIONS ON COLLATERAL TRANSFER. Borrower will not sell, lease, license or otherwise transfer (including by granting security interests, liens, or other encumbrances in) all or any part of the Collateral or Borrower’s interest in the Collateral without Secured Party’s written or electronically communicated approval, except that Borrower may sell inventory in the ordinary course of business on customary terms. Borrower may collect and use amounts due on accounts and other rights to payment arising or created in the ordinary course of business, until notified otherwise by Secured Party in writing or by electronic communication. 6. MAINTENANCE AND LOCATION OF COLLATERAL; INSPECTION; INSURANCE. Borrower must promptly notify Secured Party by written or electronic communication of any change in location of the Collateral, specifying the new location. Borrower hereby grants to Secured Party the right to inspect the Collateral at all reasonable times and upon reasonable notice. Borrower must: (a) maintain the Collateral in good condition; (b) pay promptly all taxes, judgments, or charges of any kind levied or assessed thereon; (c) keep current all rent or mortgage payments due, if any, on premises where the Collateral is located; and (d) maintain hazard insurance on the Collateral, with an insurance company and in an amount approved by Secured Party (but in no event less than the replacement cost of that Collateral), and including such terms as Secured Party may require including a Lender’s Loss Payable Clause in favor of Secured Party. Borrower hereby assigns to Secured Party any proceeds of such policies and all unearned premiums thereon and authorizes and empowers Secured Party to collect such sums and to execute and endorse in Borrower’s name all proofs of loss, drafts, checks and any other documents necessary for Secured Party to obtain such payments. 7. CHANGES TO BORROWER’S LEGAL STRUCTURE, PLACE OF BUSINESS, JURISDICTION OF ORGANIZATION, OR NAME. Borrower must notify Secured Party by written or electronic communication not less than 30 days before taking any of the following actions: (a) changing or reorganizing the type of organization or form under which it does business; (b) moving, changing its place of business or adding a place of business; (c) changing its jurisdiction of organization; or (d) changing its name. Borrower will pay for the preparation and filing of all documents Secured Party deems necessary to maintain, perfect and continue the perfection of Secured Party’s security interest in the event of any such change. 8. PERFECTION OF SECURITY INTEREST. Borrower consents, without further notice, to Secured Party’s filing or recording of any documents necessary to perfect, continue, amend or terminate its security interest. Upon request of Secured Party, Borrower must sign or otherwise authenticate all documents that Secured Party deems necessary at any time to allow Secured Party to acquire, perfect, continue or amend its security interest in the Collateral. Borrower will pay the filing and recording costs of any documents relating to Secured Party’s security interest. Borrower ratifies all previous filings and recordings, including financing statements and Doc # L - 01 - 1198395 - 01 SBA Loan #7927697805 Application #3600272376 DocuSign Envelope ID: 44320AB7 - 2B11 - 438D - 99B8 - 87D5D3E78751

Page 4 of 5 SBA Form 1059 (09 - 19) Previous Editions are obsolete. notations on certificates of title. Borrower will cooperate with Secured Party in obtaining a Control Agreement satisfactory to Secured Party with respect to any Deposit Accounts or Investment Property, or in otherwise obtaining control or possession of that or any other Collateral. 9. DEFAULT. Borrower is in default under this Agreement if: (a) Borrower fails to pay, perform or otherwise comply with any provision of this Agreement; (b) Borrower makes any materially false representation, warranty or certification in, or in connection with, this Agreement, the Note, or any other agreement related to the Note or this Agreement; (c) another secured party or judgment creditor exercises its rights against the Collateral; or (d) an event defined as a “default” under the Obligations occurs. In the event of default and if Secured Party requests, Borrower must assemble and make available all Collateral at a place and time designated by Secured Party. Upon default and at any time thereafter, Secured Party may declare all Obligations secured hereby immediately due and payable, and, in its sole discretion, may proceed to enforce payment of same and exercise any of the rights and remedies available to a secured party by law including those available to it under Article 9 of the UCC that is in effect in the jurisdiction where Borrower or the Collateral is located. Unless otherwise required under applicable law, Secured Party has no obligation to clean or otherwise prepare the Collateral for sale or other disposition and Borrower waives any right it may have to require Secured Party to enforce the security interest or payment or performance of the Obligations against any other person. 10. FEDERAL RIGHTS. When SBA is the holder of the Note, this Agreement will be construed and enforced under federal law, including SBA regulations. Secured Party or SBA may use state or local procedures for filing papers, recording documents, giving notice, enforcing security interests or liens, and for any other purposes. By using such procedures, SBA does not waive any federal immunity from state or local control, penalty, tax or liability. As to this Agreement, Borrower may not claim or assert any local or state law against SBA to deny any obligation, defeat any claim of SBA, or preempt federal law. 11. GOVERNING LAW. Unless SBA is the holder of the Note, in which case federal law will govern, Borrower and Secured Party agree that this Agreement will be governed by the laws of the jurisdiction where the Borrower is located, including the UCC as in effect in such jurisdiction and without reference to its conflicts of laws principles. 12. SECURED PARTY RIGHTS. All rights conferred in this Agreement on Secured Party are in addition to those granted to it by law, and all rights are cumulative and may be exercised simultaneously. Failure of Secured Party to enforce any rights or remedies will not constitute an estoppel or waiver of Secured Party’s ability to exercise such rights or remedies. Unless otherwise required under applicable law, Secured Party is not liable for any loss or damage to Collateral in its possession or under its control, nor will such loss or damage reduce or discharge the Obligations that are due, even if Secured Party’s actions or inactions caused or in any way contributed to such loss or damage. 13. SEVERABILITY. If any provision of this Agreement is unenforceable, all other provisions remain in effect. Doc # L - 01 - 1198395 - 01 SBA Loan #7927697805 Application #3600272376 DocuSign Envelope ID: 44320AB7 - 2B11 - 438D - 99B8 - 87D5D3E78751

14. BORROWER CERTIFICATIONS. Borrower certifies that: (a) its Name (or Names) as stated above is correct; (b) all Collateral is owned or titled in the Borrower’s name and not in the name of any other organization or individual; (c) Borrower has the legal authority to grant the security interest in the Collateral; (d) Borrower’s ownership in or title to the Collateral is free of all adverse claims, liens, or security interests (unless expressly permitted by Secured Party); (e) none of the Obligations are or will be primarily for personal, family or household purposes; (f) none of the Collateral is or will be used, or has been or will be bought primarily for personal, family or household purposes; (g) Borrower has read and understands the meaning and effect of all terms of this Agreement. 15. BORROWER NAME(S) AND SIGNATURE(S). By signing or otherwise authenticating below, each individual and each organization becomes jointly and severally obligated as a Borrower under this Agreement. PERFECULAR INC 06.04.2020 Date: DESHENG WANG, Owner/Officer {{0_SH}} Doc # L - 01 - 1198395 - 01 SBA Loan #7927697805 Application #3600272376 DocuSign Envelope ID: 44320AB7 - 2B11 - 438D - 99B8 - 87D5D3E78751 Page 5 of 5 SBA Form 1059 (09 - 19) Previous Editions are obsolete.